菜单

Resonon | 高光谱成像仪在检索城市河流水质参数方面的应用

来源:
时间: 2025-03-06


点击蓝字,关注我们


Resonon | 高光谱成像仪在检索城市河流水质参数方面的应用


健康的水环境对可持续的城市发展至关重要。然而,随着城市化的快速推进和人口增长,工业废水和生活污水造成了严重的水污染,危及人类健康和水生生态系统。传统的水质监测方法成本高昂且劳动密集。近年来,MODIS、Landsat 和 Sentinel 等卫星图像技术取得了进展,提供了广泛且具成本效益的监测手段,但由于空间和光谱分辨率的限制,在监测总磷 (TP) 和化学需氧量 (CODMn) 等非光学活性参数时仍面临挑战。

机载高光谱成像仪通过提供高分辨率图像,弥补了卫星与地面监测之间的不足,成为一种有效的解决方案。无人机获取的高光谱图像能够捕捉到详细的光谱数据,从而改善非光学活性水质参数的反演。尽管具备优势,但仍面临诸如水质样本有限和光谱特征复杂等挑战。

有效的光谱预处理和特征选择对于提高高光谱图像水质反演的准确性和效率至关重要。分数阶导数 (FOD) 和离散小波变换 (DWT) 等技术能够降低噪声并提取有价值的信息,但它们在水质监测中的应用仍处于发展阶段。


本文旨在:(1) 评估 FOD、DWT 及特征选择在水质参数反演中的有效性;(2) 比较不同回归模型的性能;(3) 确定敏感光谱带及其在水质估计中的作用。目标是建立一个基于无人机高光谱图像的城市河流水质监测综合框架。

这项研究聚焦于广州市荔湾区部分河流。荔湾区位于广州中心城区,人口稠密,拥有大量旧城区建筑以及发达的花卉和贸易产业。研究区位于珠江三角洲北部,地势平坦,水系复杂,夏季降水充沛。人类活动产生的污染物通过排水系统进入城市河流,导致严重的水污染问题,甚至出现黑臭水体。自2015年以来,广州市政府采取了一系列水环境治理措施,水质明显改善。采样点分布在花地河、葵蓬河、广佛河和涌沙河。无人机图像及部分视图如图1b所示,红、绿、蓝波段分别选为620 nm、520 nm、432 nm。

Resonon | 高光谱成像仪在检索城市河流水质参数方面的应用

图 1. 研究区域地图和采样点位置。(a)研究区域和采样点的位置和(b)收集的无人机图

Resonon | 高光谱成像仪在检索城市河流水质参数方面的应用

图2. 研究框架

2022年10月14日至15日,在图1a所示位置共采集了45个水样,采样深度为水面以下0.5米。花地河大多数采样点由船只在河中心进行采集,无法乘船的小河则在距岸边约3米处采样。由于当地限制,奎彭河和剑沙河水深约1.5-2米,未能使用船只采样,且采样点附近无河床露出,故无人机图像仅记录水面的反射率。每个采样点收集五个250 mL水样用于实验室分析,以及两个1 L备用样品,样品装入棕色避光瓶中保存。所有水质指标在3天内测定,SD和TUB现场测定,TP和CODMn在实验室条件下测定。采样过程中使用便携式GPS记录地理位置。为保证采样质量,进行了平行采样,5个采样点的平行采样率为11.1%,每个点取3个平行样,最终值为其平均值,采样质量要求RSD≤10%。

表1. 无人机飞行时间和速度

Resonon | 高光谱成像仪在检索城市河流水质参数方面的应用

无人机系统为大疆M300 RTK,飞行高度200 m,飞行时间和速度见表1。无人机搭载美国RESONON公司生产的Pika L 高光谱成像仪,重量0.6 kg,光谱范围为400~1000 nm。由于水面光反射信号较弱,采用合并技术将多个相邻像素合并为一个,从而提高线性CCD的像素响应度和信噪比。最终采集的无人机图像的光谱间隔为4 nm。考虑到两端的传感器噪声,最终选择了400~900 nm范围内的光谱信息。

Resonon | 高光谱成像仪在检索城市河流水质参数方面的应用

图3. 无人机图像对应地面采样点的光谱曲线:(a)无人机采样点对应的原始反射光谱曲线;(b)具有不同级别WQPs的光谱曲线。

Resonon | 高光谱成像仪在检索城市河流水质参数方面的应用

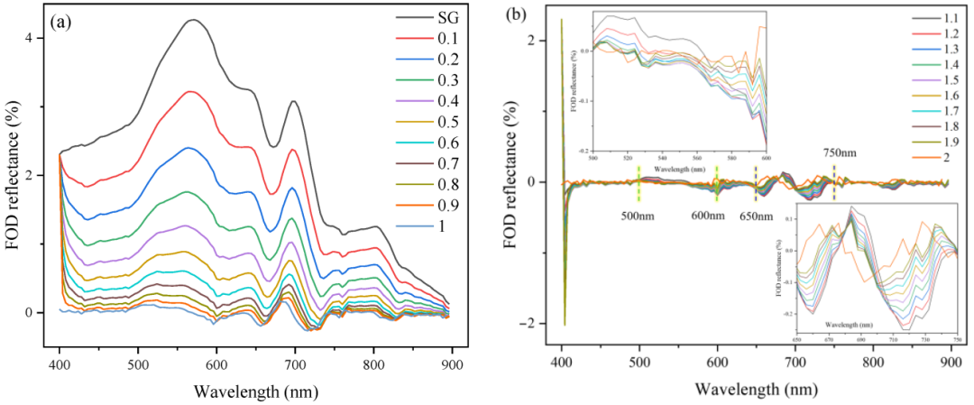
图 4. FOD 处理后的平均光谱曲线。SG 是 SG 平滑后的 OR 平均值:(a) 阶数从 0 到 1 的 FOD 反射率;(b) 阶数从 1.1 到 2.0 的 FOD 反射率。

Resonon | 高光谱成像仪在检索城市河流水质参数方面的应用

图 5. FOD-DWT 后处理光谱与 (a) SD、(b) TUB、(c) TP 和 (d) CODMn 之间的相关性热图。FOD 的阶数设置为步长 0.1。在 FOD 的每个 0.1 范围内,从下到上对应 0 到 10 级 DWT。

Resonon | 高光谱成像仪在检索城市河流水质参数方面的应用

图 6. PCC 超过 0.5 的 FOD-DWT 数据集的数量,其中 (a) SD、(b) TUB、(c) TP 和 (d) CODMn。

Resonon | 高光谱成像仪在检索城市河流水质参数方面的应用

图 7. 基于多种特征选择方法和回归模型的精度结果比较:(a) SD、(b) TUB、(c) TP 和 (d) CODMn。

Resonon | 高光谱成像仪在检索城市河流水质参数方面的应用

图 8. 不同 FOD 和 DWT 值的光谱和 TP 的 PCC 最大值和平均值热图:(a) 阶数从 0–1 的 FOD 反射率;(b) 阶数从 1.1–2.0 的 FOD 反射率。


本研究表明,结合 FOD 和 DWT 的光谱预处理对高光谱图像进行去噪,以及特征选择以过滤敏感特征,可有效提高 WQP 估计的准确性。使用 FOD-DWT 处理的光谱数据作为输入,DTR 模型显示出 WQP 反演的良好潜力。根据 WQP 的光谱特征和可用的采样数据,正确选择特征提取方法和 ML 回归模型对于实现更高的回归精度至关重要。基于机载高光谱技术,提出了一种有效的基于 ML 的框架,用于高度城市化地区的河流 WQP 检索。

相关推荐
Copyright ©2018-2023 北京理加联合科技有限公司 犀牛云提供企业云服务