研究区黑岱沟露天煤矿位于准格尔煤田中部(图1),矿区属温带半干旱大陆性气候,海拔1256m,年平均气温7.2 ℃,年平均降雨量408mm。研究期间,6月至8月的总降雨量占全年的70%以上。无霜期在125至150天之间,平均日照时数为3119.3 h。矿区排土场为多级台地式排土场,由捣蒜沟排土场、东排土场、北排土场、西排土场、内排土场、东排土场6座排土场组成。土壤类型以黄绵土为主,养分含量较低。该区植被属暖温带草原区,以低矮稀疏的天然植被为主,盖度不足30%,优势种有长山针茅、蒙古百里香、赖草等。排土场内人工植被有柠条、臭柏、山杏等(表1)。
图1. 研究区域的位置

表1. 研究区域概况
选择3种典型的可恢复样地的植物作为研究对象,即蒙古杨样地、柠条样地和苜蓿样地(图2)。试验于2023年6月至8月的雨季进行。每月样品采集2天,天气晴朗、无云,前3天无降雨事件。每分钟记录一次数据,连续观测研究期间该地区的降雨量(mm)、大气温度(℃)和空气相对湿度(%)。每个样地选取3株生长状况较好的代表性植物,这些植物可以典型地反映整个试验地的生长水平。采集每株植物的木质部枝条,同时进行降水和土壤采样。
图2. 三种植物的图像
在每个样地选取3株长势良好、形态相似的植物作为样本,每株重复采集3次枝条以减少误差。木本植物剪取4~6个未绿抽薹枝条,剥皮露出韧皮部,每条长3~5 cm;草本植物剪取根茎最粗部分。样品立即放入30mL棕色螺旋盖玻璃瓶中,封口后低温保存。每株植物冠层上方采集10~15片健康向阳叶片,包裹锡箔纸后冷藏带回实验室,测定木质部和叶片中的氢、氧稳定同位素值。
在每株植物附近1m范围内,使用土壤钻从0~100cm深度分10层采集土壤样品。部分样品用于测量土壤含水量,另一部分放入30mL棕色螺旋盖玻璃瓶中,封口后冷藏保存,备用于测定土壤水中的氢、氧稳定同位素值。
矿区试验场放置雨水收集器,使用塑料漏斗和铁皮桶收集雨水。每次降雨后,将雨水移至30mL棕色瓶中,封口并记录降雨日期,样品低温保存,备用于氢、氧稳定同位素(δ²H、δ¹⁸O)的测定。
研究期间共采集了36个雨水样品、288个植物样品和1080个土壤样品。样品采集一周后,采用LI-2100全自动真空冷凝抽提系统(北京理加联合科技有限公司)从树枝、树叶和土壤样品中提取水分,水提取率为99%。过滤后的水样采用液态水同位素分析仪测定稳定的氢、氧同位素组成。将所得数据与标准平均海水(SMOW)进行比较计算样品中的δ2H和δ18O值。
图3. 研究区域降水量、气温、相对湿度在(a)月尺度和(b)季尺度的变化特征
研究区降水、气温、相对湿度的季节变化特征如图3b所示。从季节尺度上可以看出,降水主要集中在夏季,夏季总降水量为539.68 mm,占年降水总量的70.27%。降水量大小顺序为:夏季(539.68 mm)>春季(107.42 mm)>秋季(106.28 mm)>冬季(14.6 mm)。春季天气相对干燥,相对湿度较低,秋季降水充沛,相对湿度较高,降水与气温表现出较好的协同性。相对湿度大小顺序为:秋季(55.21%)>夏季(53.28%)>冬季(42.98%)>春季(30.33%)。
图4. 不同土层土壤含水量特征及土壤水δ2H和δ18O值。((A–C):代表樟子松地点;(D–F):代表柠条地点;(G–I):代表紫花苜蓿地点)
图5. 土壤水LC过量值的垂直分布特征。((a–c):代表从6月到8月的月份)
图6. 研究区域 6-8 月降水、土壤水、茎水和叶水中 δ2H 与 δ18O 关系:(a)樟子松地点,(b)柠条地点,(c)紫花苜蓿地点;GMWL:全球大气降水线;LMWL:局部大气降水线;SWL:土壤水线;PWL:植物水线;LWL:叶水线
图7. 樟子松、柠条、紫花苜蓿茎水和土壤水δ18O变化。(A–C):代表樟子松;(D–F):代表柠条;(G–I):代表紫花苜蓿)
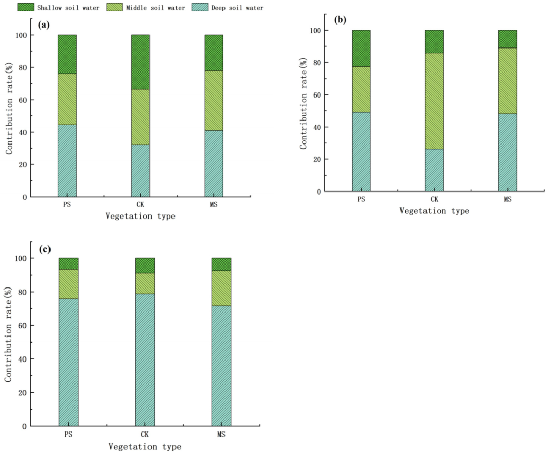
图8. 樟子松、柠条、紫花苜蓿对潜在水源的利用率。(PS:樟子松;CK:柠条;MS:紫花苜蓿)((a–c):代表从6月到8月的月份)