菜单

LI-2100 | 如何让森林“喝饱水”?——来自黄土高原的答案

来源:
时间: 2025-06-24

LI-2100 | 如何让森林“喝饱水”?——来自黄土高原的答案

LI-2100 | 如何让森林“喝饱水”?——来自黄土高原的答案

在干旱少雨的黄土高原,种树是生态修复的重要手段。但你知道吗?树种得太密,反而可能加剧水资源紧张!

最近,中国科学院生态环境研究中心的团队,在《Catena》上发表了一项新研究,给我们带来了新的思考:“合理间伐”——也就是适当间隔砍掉一部分树木,竟然能让森林更健康、更省水!


为什么要给森林“瘦身”?

在黄土高原这样的半干旱地区,水分原本就稀缺。如果森林种得过密,树木们为了生存,只能展开“抢水大战”,结果大家都活得不好:

· 土壤里的水被快速抽干

· 树木长势变弱,易枯死

· 生态修复变得不可持续

而间伐,就像给森林做“减肥手术”,腾出空间,减少竞争,让留下来的树能更好地“喝水”、更好地“呼吸”。

研究团队做了什么

选取人工刺槐林(Robinia pseudoacacia,黄土高原很常见的一种树),设置了4种不同的管理方式:

重度间伐(砍掉55%)

中度间伐(砍掉45%)

轻度间伐(砍掉35%)

不间伐(啥也不动)

LI-2100 | 如何让森林“喝饱水”?——来自黄土高原的答案


图1. 研究区概况

连续3年(2020-2022年)通过观测土壤水分、树干液流和稳定同位素(δ2H、δ18O和δ13C)等一系列指标。

对土壤和木质部样品进行三次重复水分提取时,使用LI-2100全自动真空冷凝抽提系统(北京理加联合科技有限公司),每次提取时间为3小时,确保了样品中水分提取效率达到98%以上,且无同位素分馏的问题。此外,采用激光同位素分析仪测定土壤水和雨水的同位素组成(δ²H和δ18O),精度分别达到±1.0‰和±0.1‰。对木质部水样品则采用同位素比质谱法,以确保避免有机污染的影响。

结 果

LI-2100 | 如何让森林“喝饱水”?——来自黄土高原的答案

图2. 2020 - 2022年气象要素日变化

LI-2100 | 如何让森林“喝饱水”?——来自黄土高原的答案

图3. 不同间伐处理下刺槐林土壤含水量( SWC )在各水文年( a、b、c)和总体年份( d )的变化规律。不同小写字母表示不同间伐处理下SWC在P < 0.05水平上差异显著。误差条为标准差。

LI-2100 | 如何让森林“喝饱水”?——来自黄土高原的答案

图4. 不同( a )间伐处理和( b )水文年型下刺槐林蒸腾速率的变化。不同小写字母表示不同间伐处理或不同水文年的蒸腾速率在P < 0.05水平上差异显著。误差棒为标准差。


LI-2100 | 如何让森林“喝饱水”?——来自黄土高原的答案

图5. 不同间伐处理下刺槐土壤水和木质部水同位素组成的关系。LMWL和SWL分别指当地大气降水线( y = 7.76x + 5.14 , R² = 0.91 , P < 0.01)和土壤水蒸发线。

LI-2100 | 如何让森林“喝饱水”?——来自黄土高原的答案

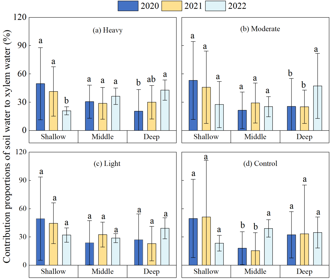
图6. 不同水文年4种间伐处理下刺槐水分利用比例的变化。不同小写字母表示不同水文年( P < 0 . 05)之间的用水比例存在显著差异。误差条为标准差。

LI-2100 | 如何让森林“喝饱水”?——来自黄土高原的答案

图7. 不同( a )间伐处理和( b )水文年型下刺槐WUEi的变化。不同小写字母表示不同处理或不同水文年( P < 0 . 05)之间WUEi差异显著。误差条为标准差。

LI-2100 | 如何让森林“喝饱水”?——来自黄土高原的答案

图8. 间伐和对照处理下刺槐( b、c、d)的WUEi与林分蒸腾速率( a )和不同土层水分利用比例的关系。


有哪些发现?

✅ 间伐真的能提高土壤水分!

特别是在3-5米深的土层,重度和轻度间伐的地块,水分明显多于未间伐的地块。

✅ 树木变得更省水、更高效!

在前两年,经过间伐的刺槐,不但蒸腾(失水)减少了40%以上,而且每消耗一滴水,能制造出更多的有机物(也就是水分利用效率提高了10%以上)。

✅ 水的“吸管”往上移了!

以前树木要靠挖深深的根去吸很深的水,但间伐后,浅层和中层土壤的水更多了,树木可以“轻松喝水”,不用辛苦扎深根。

✅ 不过,效果是短期的!

到了第三年(2022年干旱年份),随着降雨减少,树木又开始回到深层找水,间伐的优势减弱了。

研究结果

在半干旱地区,大面积种树后,合理间伐是必要的。

轻度间伐(比如保留916棵/公顷的密度)可能是更合适的选择:既能节水,又不至于破坏生态。

但是,间伐的好处不是永久的,要根据气候变化、植被恢复情况,灵活调整管理策略。

简单来说,生态修复不是一蹴而就的事情,需要科学、耐心和动态调整。

小 结

未来,黄土高原的绿色奇迹,还需要更智慧的呵护。

适度“瘦身”,才能让森林更健康,让大地更长久地葱郁!


参考文献:
Liu et al., Effects of thinning on soil water content and water use characteristics of artificial forest in the Loess Plateau of China, Catena, 2025.

上一篇:无下一篇:无
相关推荐
Copyright ©2018-2023 北京理加联合科技有限公司 犀牛云提供企业云服务